info@jargalant.mn
+976 7039-7208
Цэс
Орхон аймаг Жаргалант сумын ЗДТГ
Жаргалант сум
Жаргалант сумын түүх
Засаг дарга
ОРХОН АЙМАГ ЖАРГАЛАНТ СУМ
Тамгын газар
Алсын хараа
Эрхэм зорилго
Сумын ИТХ
Иргэдийн Төлөөлөгчдийн Хурлын ажлын алба
Байгууллагууд
Улаан толгой баг
Жаргалант баг
Дулаан-Уул баг
Байгаль орчин
Эрүүл мэндийн төв
Ерөнхий боловсролын сургууль
3-р цэцэрлэг
Соёл мэдээллийн төв
Спорт заал
Мэдээ, мэдээлэл
Цаг үеийн мэдээлэл
Дүрстэй мэдээлэл
Тогтоол шийдвэр
Захирамж
Хэм хэмжээ тогтоосон акт
Биелэлт
Хууль эрх зүйн мэдээллийн нэгдсэн сайт
Шилэн данс
ОРХОН АЙМАГ ЖАРГАЛАНТ СУМ
ЗАСАГ ДАРГЫН ТАМГЫН ГАЗАР
СУМ ХӨГЖҮҮЛЭХ САН
ИРГЭДИЙН ТӨЛӨӨЛӨГЧДИЙН ХУРАЛ
III ЦЭЦЭРЛЭГ
ЕРӨНХИЙ БОЛОВСРОЛЫН СУРГУУЛЬ
СОЁЛ МЭДЭЭЛЛИЙН ТӨВ
ЭРҮҮЛ МЭНДИЙН ТӨВ
Ил тод байдал
Төсөв санхүүгийн ил тод байдал
Үйл ажиллагааны ил тод байдал
Хүний нөөцийн ил тод байдал
Худалдан авах ажиллагааны ил тод байдал
Хоршоог хөгжүүлэх сан
ХОРШООГ ХӨГЖҮҮЛЭХ САН
Төрийн цахим үйлчилгээ
E-Mongolia
E-Gazar
E-Khutuch
E-Tax
Төсөв санхүүгийн ил тод байдал
Ил тод байдал
Төсөв санхүүгийн ил тод байдал
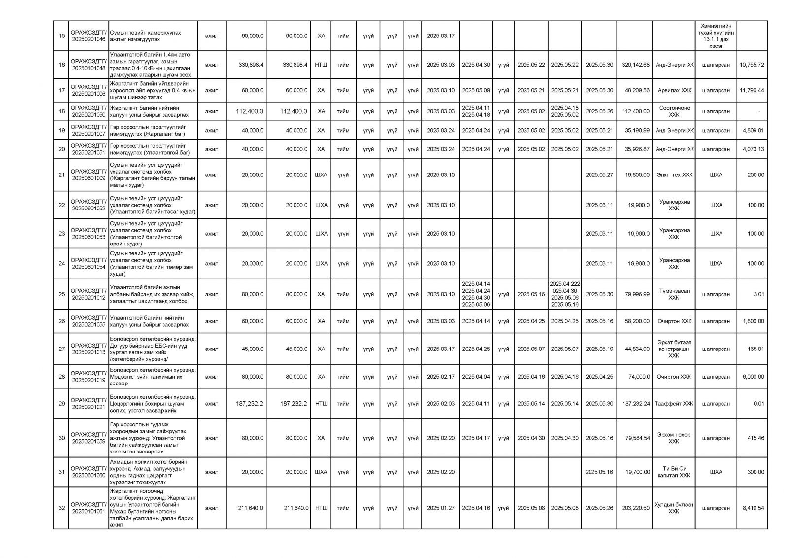
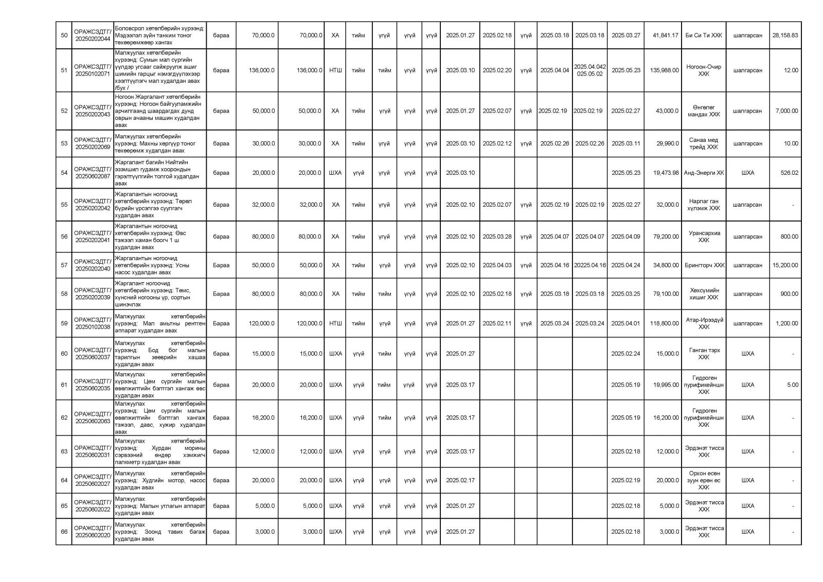
Жаргалант сумын 2025 оны Худалдан авах ажиллагааны 2 дугаар улирлын тайлан
2025-06-10 |
91
Сэтгэгдэл (0)
×
Мэдэгдэл.
Энд сэтгэгдэл байхгүй!
Сэтгэгдэл үлдээх
Нэр
И-мэйл
Сэтгэгдэл
Баталгаажуулах код
Үлдээх
Сэтгэгдэл үлдээх